Have you ever wondered why planets don’t move in perfect circles around the sun?
The answer is elliptical orbits! These special paths look like stretched-out circles or ovals that objects follow when they move through space.
Instead of staying the same distance, the moving object gets closer and then farther away as it completes its revolution. Think of it like a racetrack that’s wider on the sides than a perfect circle.
Understanding how these orbits work helps scientists send rockets to space and predict where planets will be.
Want to learn more? Keep reading to learn their amazing properties and the simple math behind them!
What is an Elliptical Orbit?
An elliptical orbit is the path an object takes around a larger body, shaped like an oval rather than a perfect round one.
This type of orbit was first explained by Johannes Kepler, who showed that planets move around the Sun following ellipses instead of circles.
Elliptical orbits are common in nature and are followed by planets, moons, and even artificial satellites.
The shape of the path helps explain why objects move faster when they are closer to the central body and slower when they are farther away.
Understanding elliptical orbits is key to studying motion in space.
Kepler’s Discovery of Elliptical Orbits


Johannes Kepler’s discovery of elliptical orbits represents one of the most revolutionary moments in astronomy, fundamentally changing how we understand planetary motion and laying the groundwork for modern space science.
This discovery led to Kepler’s famous three laws of planetary motion:
1. Kepler’s First Law (Law of Ellipses)
All planets orbit the Sun in elliptical paths, not perfect circles as previously believed. The Sun sits at one focus of each ellipse, while the other focus remains empty.
This means planets are sometimes closer to the Sun and sometimes farther away during their orbit. The shape of each ellipse depends on the planet’s eccentricity.
Earth has a nearly circular orbit with low eccentricity, while some comets have very stretched ellipses. This law ended over 2,000 years of belief that celestial motion must be perfectly circular.
2. Kepler’s Second Law (Law of Equal Areas)
Planets move at different speeds during their orbit – faster when closer to the Sun and slower when farther away.
Specifically, a line connecting a planet to the Sun sweeps out equal areas in equal time periods. This means if you measure any two-week period in a planet’s orbit.
The triangular area between the planet’s path and the Sun will always be the same size. During Earth’s closest approach in January,
We move about 3% faster than we did during our farthest point in July.
3. Kepler’s Third Law (Harmonic Law)
There’s a mathematical relationship between how long a planet takes to orbit the Sun and its average distance from the Sun.
The orbital period squared equals the average distance cubed (when using appropriate units). This means planets farther from the Sun take much longer to complete their orbits.
Mercury orbits in 88 Earth days, while Neptune takes 165 Earth years.
This law allows astronomers to calculate orbital periods for newly discovered planets and moons by simply measuring their distance from the central body.
All the Properties of Elliptical Orbits


The size and shape of an orbit can vary, creating differences in distance and speed as the object travels along its path.
These properties help explain why celestial bodies move faster at some points and slower at others.
1. Elliptical Shape: An ellipse looks like a stretched circle or oval. It has two axes: the major axis (longest) and the minor axis (shortest). This shape is nature’s most common orbital path.
2. Two Foci: Every ellipse has two special points called foci. In planetary orbits, the central body, like the Sun, sits at one focus. The other focus is on empty space.
3. Eccentricity (e): Eccentricity measures how stretched an orbit is. A value of 0 means a perfect circle. Values closer to 1 mean very stretched. Earth’s eccentricity is 0.0167.
4. Semi-major Axis (a): This is half the length of the orbit’s longest diameter. It shows the orbit’s average size and helps scientists calculate how long one orbit takes.
5. Semi-minor Axis (b): This is half the length of the orbit’s shortest diameter. It works with the semi-major axis to determine the orbit’s exact shape and area.
6. Perihelion: The closest point in an orbit to the central body. For Earth, perihelion happens in January when we’re about 3 million miles closer to the Sun.
7. Aphelion: The farthest point in an orbit from the central body. Earth reaches aphelion in July, when we’re at our greatest distance from the Sun each year.
8. Orbital Speed Variation: Objects move faster when closer to the central body and slower when farther away. This speed change follows Kepler’s laws and conserves the orbit’s total energy.
Equations of Elliptical Orbits
Elliptical orbits can be explained using different mathematical forms that highlight their geometry and motion. In coordinate geometry, an ellipse is expressed as


where a is the semi-major axis, representing half of the longest diameter, and b is the semi-minor axis, half of the shortest diameter.
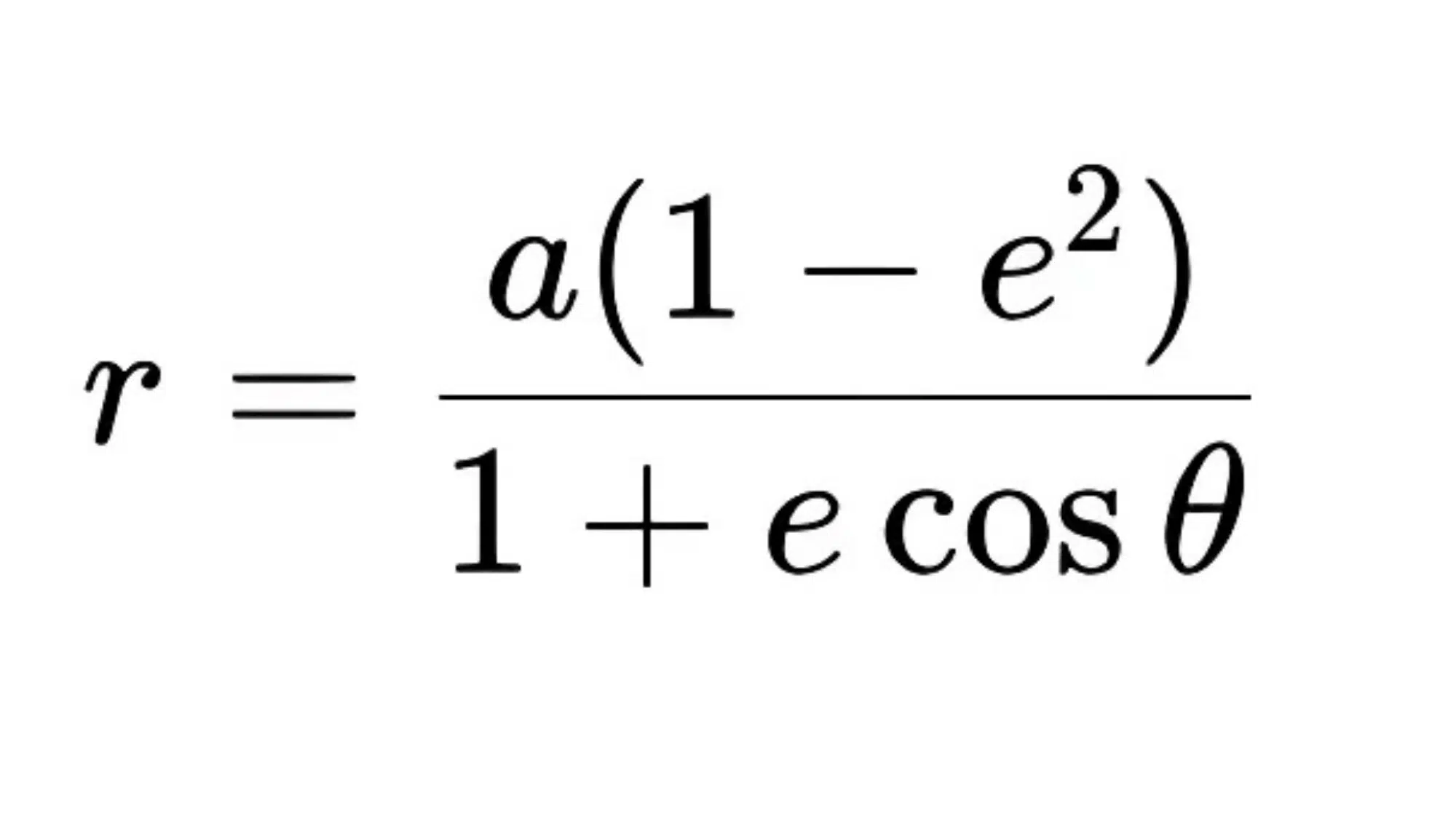
For orbital dynamics, with the central mass positioned at one focus, the polar form is more practical:


indicating how the orbital distance (r) varies with angle (θ), semi-major axis (a), and eccentricity (e) that defines the orbit’s elongation.
Finally, Kepler’s Third Law states


meaning the square of the orbital period (T) increases with the cube of the semi-major axis; larger orbits require significantly more time to complete.
Real-World Examples of Elliptical Orbits
Elliptical orbits are prevalent throughout our solar system and in human-made satellite systems, each with unique characteristics that influence motion, distance, and timing patterns.
1. Earth’s Orbit and Its Near-Circular Elliptical Shape
Earth follows a nearly circular elliptical path around the Sun with an eccentricity of just 0.017.
This means our planet’s distance from the Sun varies only slightly throughout the year – from about 91.4 million miles in January to 94.5 million miles in July.
This minimal variation helps maintain relatively stable seasonal patterns.
2. Other Planetary Orbits and Their Eccentricities
Different planets show varying orbital shapes. Venus has the most circular orbit with an eccentricity of 0.007, while Mars displays a more noticeable ellipse at 0.093.
Mercury’s highly eccentric orbit of 0.206 causes significant distance changes during its journey around the Sun.
3. Satellite Orbits: Perigee and Apogee Explained
Artificial satellites also follow elliptical paths around Earth. The closest point to Earth is called perigee, while the farthest point is apogee.
These varying distances affect satellite speed, communication signals, and orbital energy requirements for space missions.
To Conclude
Elliptical orbits reveal the mathematics behind cosmic motion, from tiny satellites to distant planets.
These oval-shaped paths explain why objects speed up and slow down as they travel through space. The beauty lies in how simple equations describe such complex movements.
Whether it’s Earth’s nearly circular or Mercury’s stretched orbit, each path follows the same fundamental principles that govern all celestial motion.
This knowledge isn’t just theoretical – it helps engineers launch satellites, plan space missions, and predict planetary positions with incredible accuracy.















